Klimaat verandert, kwalpatronen vervroegen
Stichting ANEMOONIn onze kustwateren leven vier kwallensoorten die veel gezien worden. De patronen in voorkomen daarvan verlopen niet synchroon. Als eerste in het jaar verschijnt de Oorkwal. Vervolgens de Blauwe haarkwal, afhankelijk van het gebied iets later of vrijwel gelijktijdig. Daarna is de Kompaskwal aan de beurt, gevolgd door de Zeepaddenstoel. In deze volgorde vertonen ze ook een piek en verdwijnen ze weer. Recent onderzoek van duikwaarnemingen in de Oosterschelde toont aan dat het moment waarop deze soorten opkomen, een piek vertonen en weer verdwijnen, tegenwoordig drie tot zeven weken eerder valt dan een kwart eeuw geleden.

Voortplanting van kwallen
Het moment waarop kwallen opkomen en wanneer ze pieken hangt samen met de cyclus van de voorplanting. Kwallen planten zich voort via poliepen die op verharde delen van de zeebodem vastgehecht leven. Deze poliepen hebben wel wat weg van plantjes of boompjes, waarbij bovenaan de stammetjes kleine tentakelkransjes zitten. Bij een bepaalde temperatuur snoeren die zich af en vormen ze kleine kwalletjes. Die worden massaal met de zeestromen meegevoerd, voeden zich met plankton en groeien uit tot de bekende schijfkwallen. Eenmaal volwassen gaan ze over tot geslachtelijke voorplanting. Na bevruchting van de eicellen door zaadcellen ontstaan larfjes die afdalen naar de bodem en daar weer kleine poliepjes vormen, waarna de cyclus zich herhaalt.

Zeewatertemperatuur
Vooral de laatste decennia stijgt de zeewatertemperatuur als gevolg van klimaatverandering. Daardoor wordt de temperatuurdrempel waarop kwallen zich afsnoeren van de poliepen eerder in het jaar bereikt. Afhankelijk van het aanwezige voedsel kunnen de stijgende temperaturen ervoor zorgen dat de opkomst, piek en het weer afnemen van de soort verschuiven naar eerder in het jaar.
Monitoringproject Onderwater Oever (MOO)
Periodiek terugkerende natuurverschijnselen, zoals de jaarlijkse voortplanting, de piek wanneer de meeste individuen te vinden zijn en wanneer die weer verdwijnen, wordt fenologie van een soort genoemd. Stichting ANEMOON is een onderzoek gestart naar veranderingen in de fenologieën van allerlei mariene organismen. Dit gebeurt op basis van duizenden waarnemingen die door vrijwilligers zijn gedaan in het kader van het Monitoring Project Onderwater Oever (MOO). Bij dit project noteren duikers per soort het waargenomen aantal exemplaren dat ze tijdens de duik gezien hebben in aantalsklassen. Nulwaarnemingen, waarbij een soort niet is gezien terwijl er wel op is gelet, zijn voor statistieken erg belangrijk en worden ook doorgegeven.
Gecorrigeerde waarnemersinspanning
Bij onderzoek met burgerwetenschappers zijn waarnemingen zelden 'netjes’ gelijk verdeeld over de maanden, jaren en locaties. In de zomer wordt immers vaker gedoken dan in de winter en sommige duiklocaties zijn populairder dan andere. Vanwege deze onevenredige verdeling van de waarnemersinspanning over tijd en ruimte, wordt middels modellering een correctie uitgevoerd. Een wiskundig model berekent de zogenaamde missende tellingen voor de locaties en weken waarin geen of te weinig waarnemingen zijn gedaan. Zo’n model is eigenlijk een lijn die zo goed mogelijk past bij de wél beschikbare tellingen. Op deze manier ontstaat voor elke onderzochte soort een complete dataset waarmee per jaar het seizoenspatroon kan worden berekend (zie de tekst onder het kopje 'Technische details' voor nadere informatie over de methode).
Seizoenspatroon in 1995 en in 2018
Bij het nu uitgevoerde eerste deelonderzoek is nagegaan welke verschuivingen zich hebben voorgedaan in de fenologie van kwallen in de Oosterschelde binnen de analyseperiode van 1995 tot en met 2018 (waarnemingen van latere jaren waren nog niet volledig beschikbaar). Deze verschuivingen blijken aanzienlijk. Als eerste vergeleken we de seizoenspatronen uit 1995 met die van 2018. In de onderstaande grafiek wordt deze vergelijking weergegeven. Er komt een opvallend verschil naar voren: zowel de piek van de Oorkwal, de Blauwe haarkwal als die van de Kompaskwal trad in 2018 veel eerder op dan in 1995.

Trend in verschuiving
Om na te gaan of de waargenomen verschillen tussen 1995 en 2018 geen eenmalig verschijnsel zijn maar een voortschrijdend proces, werd een trendanalyse uitgevoerd (zie de grafieken onder het kopje 'Technische details'). Uit deze analyse blijkt dat het hele seizoenspatroon van de Oorkwal, Kompaskwal en de Blauwe haarkwal trendmatig steeds vroeger in het jaar optreedt. Over een periode van 24 jaar gaat het daarbij om een verschuiving van drie tot vijf weken. Bij de Blauwe haarkwal verschuift het eind van het voorkomen zelfs naar zeven weken eerder in het seizoen.
Opwarming zeewater
Vanwege het steeds warmer wordende zeewater ligt het voor de hand dit als oorzaak te beschouwen voor de vastgestelde vervroegingen van de seizoenspatronen. Maar met zekerheid kunnen we dit nog niet zeggen. Daarvoor dient het directe verband tussen de zeewatertemperatuur en de seizoenspatronen nader te worden onderzocht.
Vervolgonderzoek en slotwoord
Dit onderzoek is het begin van een breder onderzoek, waarbij voor nog veel meer soorten die leven in de Oosterschelde, het Grevelingenmeer en langs onze Noordzeekust de veranderingen in seizoenspatronen onderzocht gaan worden. Het is de bedoeling dat daarbij ook gezocht wordt naar interacties tussen soorten onderling. Met andere woorden: of veranderingen in seizoenspatronen van de ene soort invloed hebben op seizoenspatronen van andere soorten. Dit kan het geval zijn bij soorten die een onderlinge relatie hebben, bijvoorbeeld omdat ze voedsel zijn voor een andere soort. In de natuur hebben soorten allerlei onderlinge relaties. Klimaatverandering kan complexe en onvoorziene veranderingen tot stand brengen die uiteindelijk ook voor de mens grote gevolgen hebben. Redenen genoeg om ze te onderzoeken.
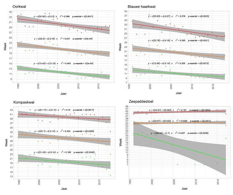
Technische details
De modelberekeningen zijn uitgevoerd met het rbms-package dat dient te worden toegepast binnen de statistische programmeertaal R. Bij het vaststellen van verschuivende seizoenspatronen is het volgende van belang. Seizoenspatronen van kwallen vertonen een min of meer klokvormige curve. Het oppervlak van die curve wordt beschouwd als het voorkomen over een heel jaar. Wanneer we die curve van links naar rechts bekijken, wordt het punt waarbij 10% van het oppervlak is bereikt beschouwd als het ‘begin van het voorkomen’. Bij 50% van het oppervlak is dat het ‘midden van het voorkomen’ en wanneer 90% van het oppervlak is bereikt spreken we van het ‘eind van het voorkomen’. Zo wordt voor elk jaar ‘begin’, ‘midden’ en ‘eind’ van het voorkomen berekend en met die waarden is te berekenen of het seizoenspatroon in de loop van de tijd is verschoven. Wanneer de curve symmetrisch is, dan komt het midden van het voorkomen overeen met de piek. Maar als een soort snel opkomt en weer traag afneemt dan ligt de piek vóór het midden. Veranderingen in het moment van de piek en de scheefheid van de curve worden nog onderzocht.
Om statistisch te toetsen of verschuivingen trendmatig significant zijn, is per soort een regressie-analyse gedaan voor het begin, midden en eind van het voorkomen over de jaren van de onderzoeksperiode. Daaruit komt voor de Oorkwal, de Kompaskwal en de Blauwe haarkwal een duidelijke en significante trend naar voren waarbij zowel het begin, het midden als het eind van het voorkomen steeds eerder in het jaar vallen. Bij de Oorkwal, Kompaskwal en Blauwe haarkwal gaat het binnen de onderzoeksperiode om een verschuiving naar zo’n drie tot vijf weken eerder in het seizoen. Bij de Blauwe haarkwal gaat het bij het einde van het voorkomen om een vervroeging van zeven weken. Voor de Zeepaddenstoel geldt dat er relatief veel jaren zijn waarbij de soort te weinig is waargenomen om een seizoenspatroon te kunnen bepalen. Voor het begin van het voorkomen is weliswaar een significante trend vastgesteld, maar omdat dit op weinig jaren is gebaseerd wordt deze trend toch niet betrouwbaar geacht en kan niet vastgesteld worden of ook bij deze soort het seizoenspatroon is verschoven.

Meedoen aan het MOO en/of meer weten
Meer informatie over het Monitoringproject Onderwater Oever is te lezen in de publicatie 'Het Duiken Gebruiken'. Duikers die mee willen doen aan het MOO-project kunnen zich aanmelden bij het MOO-portaal. Alle benodigde informatie wordt dan per mail toegezonden.
Dit onderzoek naar de fenologie van kwallen en diverse andere mariene organismen werd mede mogelijk gemaakt door een bijdrage van de Nationale Postcode Loterij aan SoortenNL.
Tekst: Nina Leestemaker & Adriaan Gmelig Meyling, beiden Stichting ANEMOON
Analyses en grafieken: Nina Leestemaker
Foto's: Oscar Bos, Wageningen Marine Research (leadfoto: Blauwe haarkwal, waarvan de neteldraden mensen pijnlijk kunnen 'steken'); Conny Keultjes; Ad Aleman; Marion Haarsma, allen Stichting ANEMOON
Illustratie: PICTAN
